江苏邮币卡交易中心有限公司关于挂牌上线交易的公告
浏览:3989
发布:2025-12-29
尊敬的投资者:
江苏邮币卡交易中心有限公司(以下简称“本中心”)将于2025年12月30日正式开始挂牌上线交易。具体交易时间为:每周一至周五(国家法定节假日除外)
上午:9:30-11:30;
下午:13:30-15:30。
请投资者提前做好银商签约和资金安排(银商签约和出入金时间为交易日9:00-16:00)。新注册的投资者在注册申请成功后,系统需要5个工作日完成交易品种数据的线上导入工作,期间可能会影响到您的交易,请您耐心等待交易品种数据的导入完成。
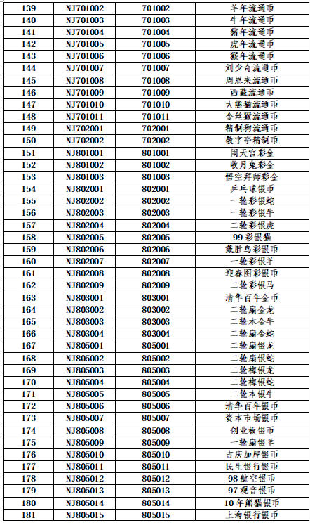
交易有风险,投资需谨慎!再次提醒广大投资者认真阅读并了解《江苏邮币卡交易中心现货挂牌交易规则(试行)》,准确评估自身风险承受能力,慎重参与交易。具体交易品种对应代码详见附件。
特此公告。
附件:交易品种代码目录
江苏邮币卡交易中心有限公司
2025年12月29日
![]()








